关注光速生信,助力SCI

第一段-文章基本信息
文章题目:The impact of hyperventilation on seizure duration following electroconvulsive therapy: a systematic review and meta-analysis of randomized trials
中文标题:电休克治疗后过度换气对癫痫发作持续时间的影响:系统综述及随机试验荟萃分析
发表杂志:BMC Psychiatry
影响因子:1区,IF=3.6
发表时间:2025年8月
第二段-本文创新点和科研启发
本文创新点和科研启发
癫痫发作时间缩短:荟萃分析显示,过度通气使ECT癫痫发作持续时间平均减少约19秒(95% CI −30 to −8秒),差异有统计学意义,提示其可快速降低脑内CO₂、升高pH,从而提前终止发作。
发作质量未受损:尽管时长缩短,但癫痫发作的EEG振幅、后放电结束时间及临床疗效指标(如刺激阈值、再发作率)与对照组无显著差异,表明过度通气不会削弱ECT治疗效果。
安全可行、零成本:纳入的随机试验中未出现呼吸相关不良事件,操作仅需简易呼吸囊或呼吸机,实施简便、无需额外费用,为临床提供了一种安全、可控且立即可用的癫痫发作管理策略。
第三段-Introduction
背景
最新荟萃分析显示:ECT诱导期过度通气虽使癫痫发作时间平均缩短19秒,但发作质量与治疗反应未受损,且零成本、无呼吸并发症,为临床提供安全可控的“减时不减效”新策略。
第四段-Methods
方法
该系统评价的方案遵循了2020年系统评价与荟萃分析优先报告项目(PRISMA)声明,并已注册于PROSPERO(编号:CRD42024533151;日期:2024年4月18日)。
数据来源与搜索策略
研究团队独立检索了多个学术数据库,如PubMed、Cochrane图书馆、Embase、Web of Science核心收藏、Ovid、万方数据、中国国家知识基础设施(CNKI)和中美信息,检索截止时间截止至2024年4月18日。我们使用了“过度换气”和“电休克疗法”等搜索词,以及它们的同义词,包括医学主题词(MeSH)和关键词。为了确保全面,我们还手动检查了所发现研究的参考文献列表,寻找可能遗漏的相关文件。
纳入与排除标准
我们已纳入所有比较过度换气与正常通气的随机对照试验。过度通气定义为呼吸频率或潮气量高于标准麻醉诱导时使用的水平。
本研究的纳入标准如下:(1)研究人群包括接受电休克治疗的精神病患者,且不限于精神疾病类型;(2)参与者年龄为18岁及以上,不限国籍或族裔;(3)实验组在麻醉诱导过程中经历了过度换气;(4)研究设计采用随机对照试验;(5)对纳入研究的语言或地理区域无限制。
本综述的排除标准为:(1)无法获取全文的研究;(2)缺乏包含疗效和安全指标的结局指标的研究;(3)数据呈现不完整的研究。
文献检索与数据提取
文献筛选过程使用Endnote 20软件完成。每位作者独立审查了所识别研究的标题和摘要,根据预设纳入和排除标准剔除明显无关的部分。随后,作者对剩余研究进行了详细综述,以确定最终纳入分析的选拔。文献筛选和遴选过程由沈天启和尹星星独立完成,争议由单琴解决。
在数据提取阶段,作者独立从符合条件的研究中提取信息。系统提取的细节包括:首席研究员姓名、发表年份、患者组的人口统计和临床特征(如年龄、性别和精神诊断)、诱导阶段使用的麻醉剂以及过度换气干预的目标。对于包含多个实验组的研究,每个组的数据被合并分析。WebPlotDigitizer v4.6 被用于从文献中的图形表示中提取数据。
结果
主要结局指标为电休克术后癫痫发作的持续时间,观察方法通过肌肉收缩(通过上肢或其他身体部位的眼肌图检测)或脑电图识别的癫痫发作持续时间进行区分。
次要结局指标包括用于评估ECT治疗效果、疗效和安全性的其他指标。
质量与偏差评估
每位作者被要求独立评估纳入研究的方法学严谨性。修订版Cochrane随机试验偏倚风险工具(RoB 2.0)用于检测潜在偏差,包括与随机分配过程相关的偏差、偏离处方干预、不完整结局数据、结局测量偏倚以及整体结局偏倚。对于采用交叉设计的研究,评估还考虑了随机化过程中周期效应和传递效应带来的潜在偏差。如果个别评估存在差异,首席研究员或通讯作者将作出最终裁决。
数据处理与分析
统计分析使用R Studio 4.3.2版本进行。连续结局以均数差(MD)及其95%置信区间(CI)并列呈现。对于那些提供均值与95%置信区间的结合的研究,我们采用了《考克伦手册》中列出的方法进行数据调整计算。合并相关的缺陷通过反方差模型量化。评估了纳入研究的异质性。I2统计量超过50%表示异质性较大,采用随机效应模型进行管理。我们进行了亚组分析,以考察可能导致研究异质性的研究特征。此外,还进行了敏感性分析以确定总体发现的稳健性。发表偏倚通过漏斗图和埃格尔检验进行评估。
证据分级
在严格遵循推荐评级、评估、开发与评估(GRADE)指南的基础下,对证据进行了全面评估。GRADE方法要求根据偏倚、不一致、间接性和不精确的风险对证据进行分类。GRADEpro GDT在线工具用于评估证据的确定性并生成结论汇总表。
第五段-Results
结果
搜索结果
对九个数据库的全面检索共计1983条引用。在使用EndNote进行重复去重后,唯一引用数量被压缩为1,713次。随后,根据题目和摘要筛选出20项研究,并检索全文以供进一步分析。遴选过程最终纳入了七项研究,涵盖了185名患者在620次电休克治疗中的数据。其中四项研究聚焦于被诊断为抑郁症的患者,五项研究采用特定的呼气二氧化碳(ETCO2)目标值作为过度换气的指标。图1中详细展示了文献筛选过程的描绘。以及综述中纳入研究的一般信息见表1。


偏倚风险评估
我们采用Rob 2.0评估随机化过程可能存在的偏倚、偏离预期干预措施、缺失结局数据、结果测量不准确以及选择性报告结果。这些发现在图2中有所阐述。一项研究因随机化过程不平衡而存在高偏倚风险。此外,一项研究中还提出了偏倚问题,担心可能偏离处方干预。此外,两项研究]因跨界设计中固有的周期效应和传递效应影响,被标记为高偏倚风险。图2
过度换气对电休克治疗的影响
运动发作持续时间
共识别了六项研究,报告了过度换气后运动抽搐持续时间。这些研究涵盖了545次疗程,涉及160名患者。综合结果显示,过度换气显著延长了运动抽搐持续时间(平均数2.880秒;95%置信区间:0.917秒至4.842秒;p= 0.004),分析显示异质性较低(I2 = 0%;p = 0.43)。图3-A。
脑电图发作持续时间
三项研究报告了过度换气后脑电图(EEG)癫痫发作持续时间,共计379次电休克刺激,涵盖82名患者。研究结果显示,过度换气显著延长脑电图癫痫发作持续时间(MD5.426秒;95%置信区间:0.656秒至10.195秒;p = 0.026)。然而,结果也显示研究间存在中等程度的异质性(I2 = 56%;p = 0.18)。图3-B。
其他有效性指标
我们分析中的一些ECT剂量研究显示,所有参与者在多次疗程中,方案驱动的电刺激需求增加。这一方案驱动的剂量递增旨在确保ECT期间所有患者均获得治疗益处。Nishikawa等人的研究比较了两组为维持电休克疗效所需的刺激增量,发现过度换气组的增加显著小于传统通气组,这一差异具有统计学显著性(p= 0.010)。
安全指标
三项研究探讨了在过度换气条件下施用电休克的安全性。结果显示,过度换气组和正常通气组的呼吸功能参数相似,包括呼吸频率(每分钟呼吸次数):31对32,吸气/呼气比为1:0.6对1:1。此外,两组血流动力学指标也相当,血压为96.25±15.11毫米汞柱对95.40±9.70毫米汞柱(p=0.83),心率为88.40±13.92次/分钟对88.75±12.15次/分钟(p=0.93)。组织供氧指数也无显著差异,癫痫发作后周围血氧饱和度为99.45±为0.99%±为99.55%为0.75%(p= 0.72),区域脑部血氧饱和度为80.90±为9.26%,为76.45±为8.61%(p = 0.13)。此外,过度换气组恢复速度更快,平均恢复时间为9.7±2.02分钟,而常规通气组为12.3±2.27分钟(p = 0.001)。Mayur的研究显示,非过度换气患者定向时间比过度换气组延长了34%的临床意义(时间比1.34,95%置信区间0.94–1.92;P = 0.103),但在传统阈值下差异未达到统计显著性。
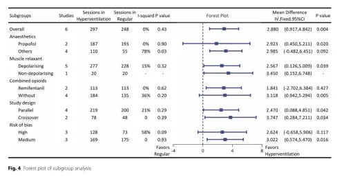
子组分析
进行了亚组分析,评估麻醉诱导药物、肌肉松弛剂类型、阿片类药物的纳入与排除、研究设计及偏倚评估结果对肌肉痉挛持续时间的影响。如图4所示。分析显示,这些因素均未显著介导肌肉发作持续时间。然而,值得注意的是,一些因素在亚群内部表现出相当程度的异质性。

敏感性分析
采用一一排除方法对肌肉痉挛持续时间进行了敏感性分析。结果一致显示,过度换气组具有统计学上显著的优势,且异质性较低,由于关于脑电图发作持续时间的研究稀少,对该参数进行敏感性分析尚不可行。
发表偏倚
由于纳入的RCT数量有限(n<10个),根据标准指南,发表偏倚分析不可行。
证据摘要
GRADEpro在线工具被用于GRADE系统的应用。肌肉和脑电图癫痫发作持续时间均被下调,以考虑纳入研究相关的偏倚评级。在最终评估中,肌肉痉挛持续时间和脑电图发作持续时间的证据质量被评为中等。(表2)

第六段-结论
结论
本系统综述和荟萃分析表明,电休克诱导期的过度换气不仅能缩短发作持续时间,而且患者似乎能很好地耐受。然而,仍需进一步研究以验证其对临床结局的影响并探索其长期临床益处,以提升治疗效果和患者安全。
END
点击开启光速生信
训练营
「数据库挖掘+组学MR」SCI光速写作训练营与线上师门第二十九期:带你光速创作任意类型SCI,轻松成就学术之路!师门护航保底7篇
往期文章