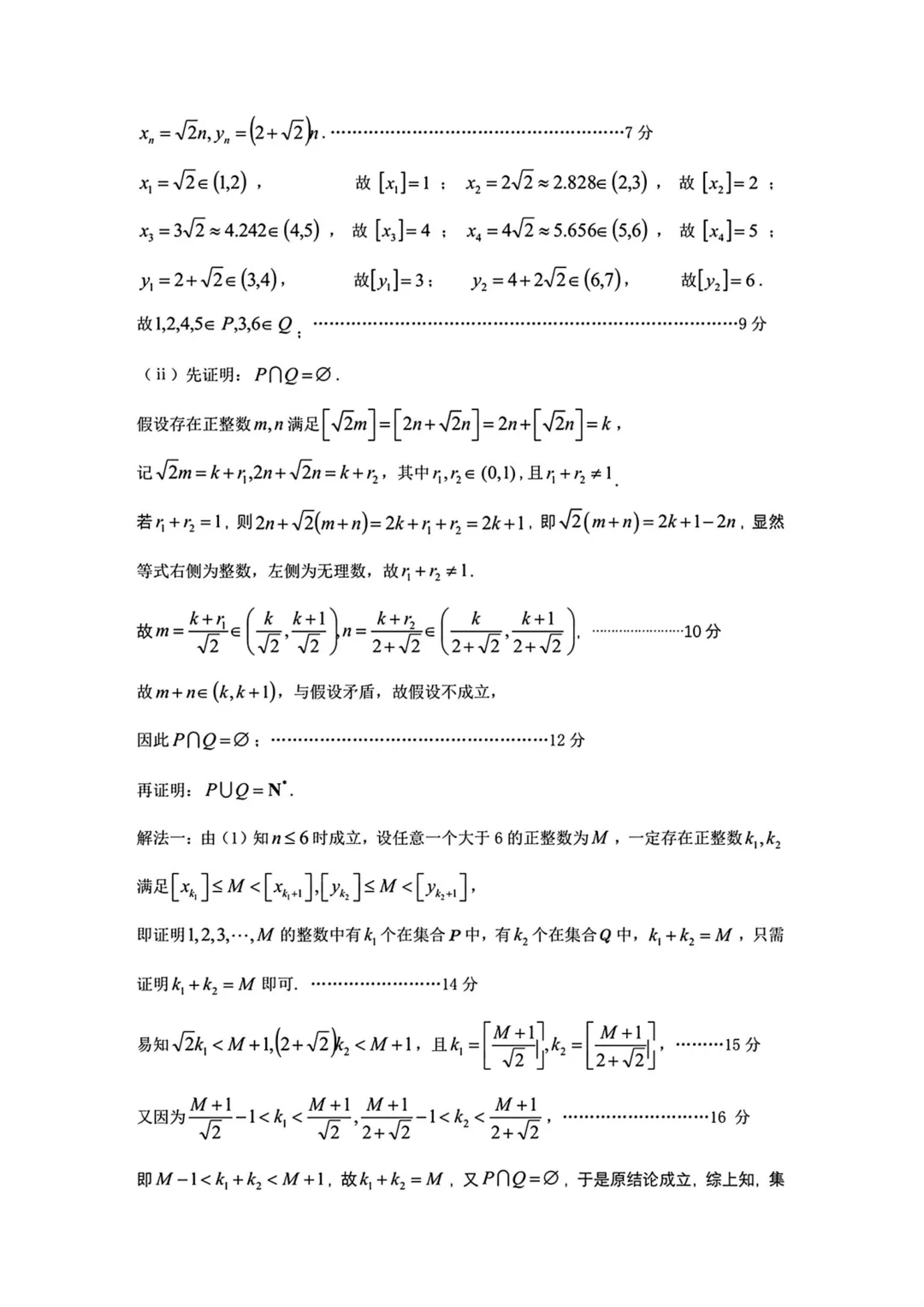
一、高考倒计时

二、试题资料页面
本试题来自于网络,目的非盈利商用!关注下方公众号回复当天日期领取:“20260324”(有效期7天,请及时下载)
公众号名片
方式二:文末有试题分享群!
- 更多试题资料与教研Word试题(资料群):点击查看
近期更新习题:
点击跳转总链接公众号分享的文件获取方式就在上面!自行获取!祝大家学习生活愉快!来源于Q群:675373636!
三、资料群介绍
更多试题资料与教研Word试题(资料群):点击查看
公众号每天分享篇幅有限,更多资料会第一时间分享在咱们公众号资料群!致力于为大家提供一个资源分享,实时资料试题更新,让大家花最短的时间找到自己需要的资料,提高学习工作效率,给大家提供一个高考交流的平台!本群上限为2000人,收费为物理:18.88,数学21.68,数学物理一起38.68一位。或在下方购书赠送两个资料群!(微信:fudisheng2020)

四、MST书籍课程介绍及购买方式

五、后记
祝大家学习生活愉快! 高中正处于人生的重要阶段,是知识积累、能力培养和价值观形成的关键时期。制定一份合理的学习规划,有助于高中生更好地管理时间、提高学习效率,进而为未来的大学学习和职业发展打下坚实的基础。
- 设定明确的学习目标--首先,高中生需要明确自己的学习目标,包括短期目标和长期目标。短期目标可以是提高某一科目的成绩,长期目标则可以是考入理想的大学或专业。设定目标有助于高中生保持学习动力,不断向前迈进。
- 合理安排学习时间--高中生应该根据自己的作息时间和学习状态,合理安排每天的学习时间。保持规律的作息,保证充足的睡眠,有助于提高学习效率。同时,要注意劳逸结合,避免长时间学习导致身心疲惫。
- 制定学习计划--在制定学习计划时,高中生应该结合自己的实际情况,将学习任务细化到每周、每天甚至每小时。计划要具有可行性和灵活性,既要保证完成学习任务,又要留出适当的调整空间。
- 高效利用学习资源--高中生应该充分利用学校提供的各类学习资源,如图书馆、实验室、辅导老师等。同时,也可以利用互联网资源,如在线课程、学习平台等,拓宽知识面,提高学习效果。
- 培养良好的学习习惯--良好的学习习惯是高中生取得优异成绩的关键。高中生应该养成预习、复习、做题、总结等学习习惯,形成自己的学习方法和思维模式。
- 积极参加课外活动-- 除了课堂学习,高中生还应该积极参加课外活动,如学术竞赛、社团活动、志愿服务等。这些活动有助于培养高中生的综合素质和领导能力,丰富人生阅历。
- 制定一份合理的学习规划,对于高中生来说至关重要。通过设定明确的目标、合理安排时间、制定计划、高效利用资源、培养习惯和参加课外活动,高中生可以更好地管理自己的学习生活,为未来的大学学习和职业发展奠定坚实的基础。同时,高中生还需要保持积极的心态和乐观的情绪,勇于面对挑战和困难,相信自己的能力和潜力,不断追求进步和成长。最后,建议高中生在制定学习规划时,与家长和老师保持沟通,听取他们的意见和建议,不断完善和调整自己的规划。通过共同努力,相信高中生一定能够在学习的道路上取得优异的成绩和成就。
文件获取
数学试题分享Q群:1077080661,物理试题分享Q群:106908804,交流Q群:956583547。
扫码进群
请备注来意
点击下方阅读原文进MST书店!