
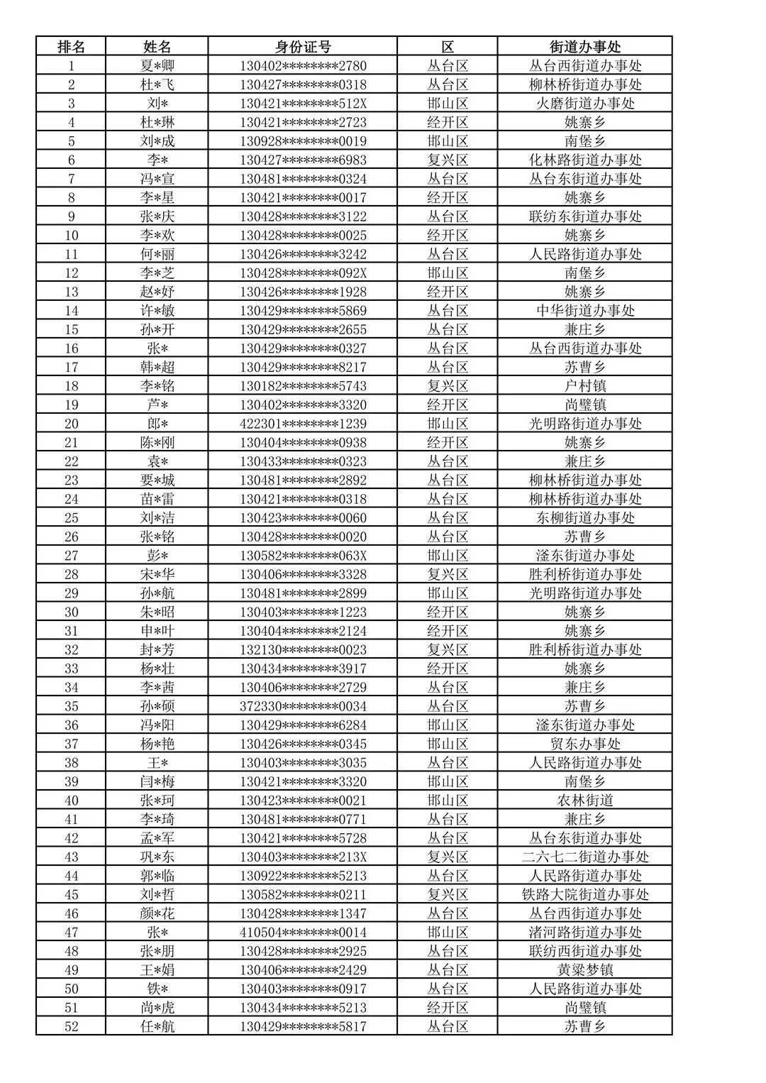
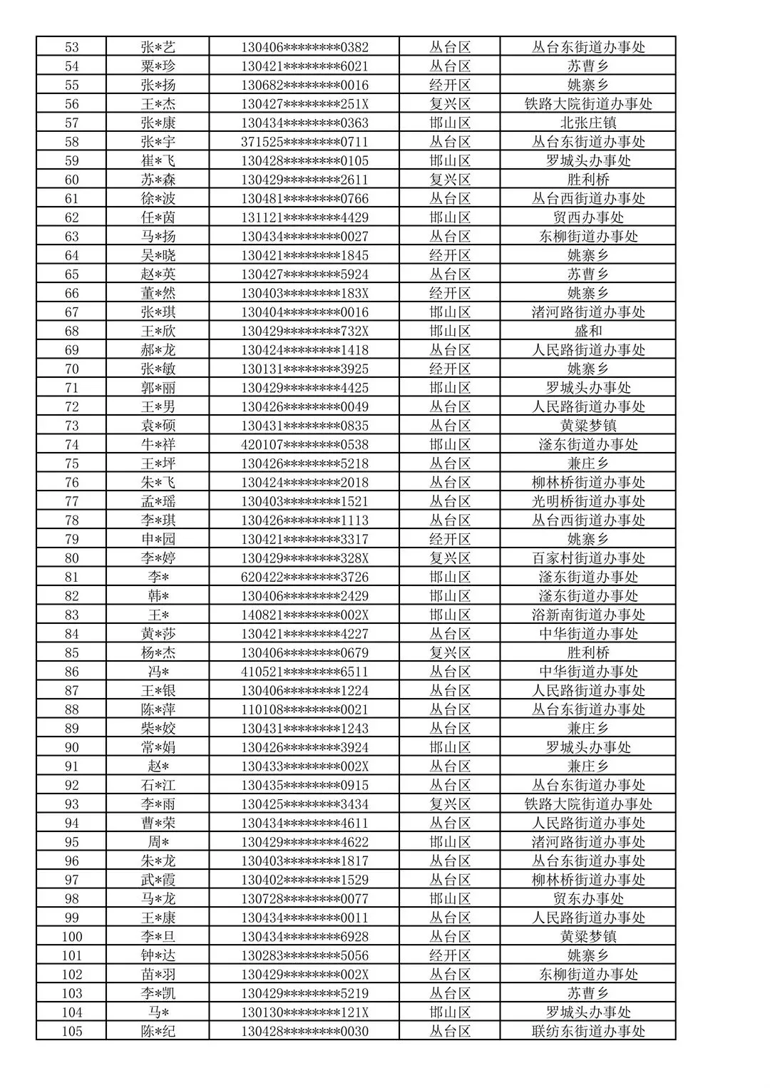
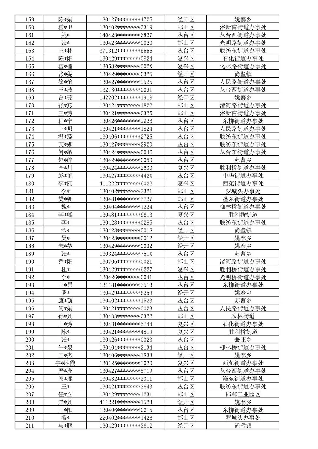
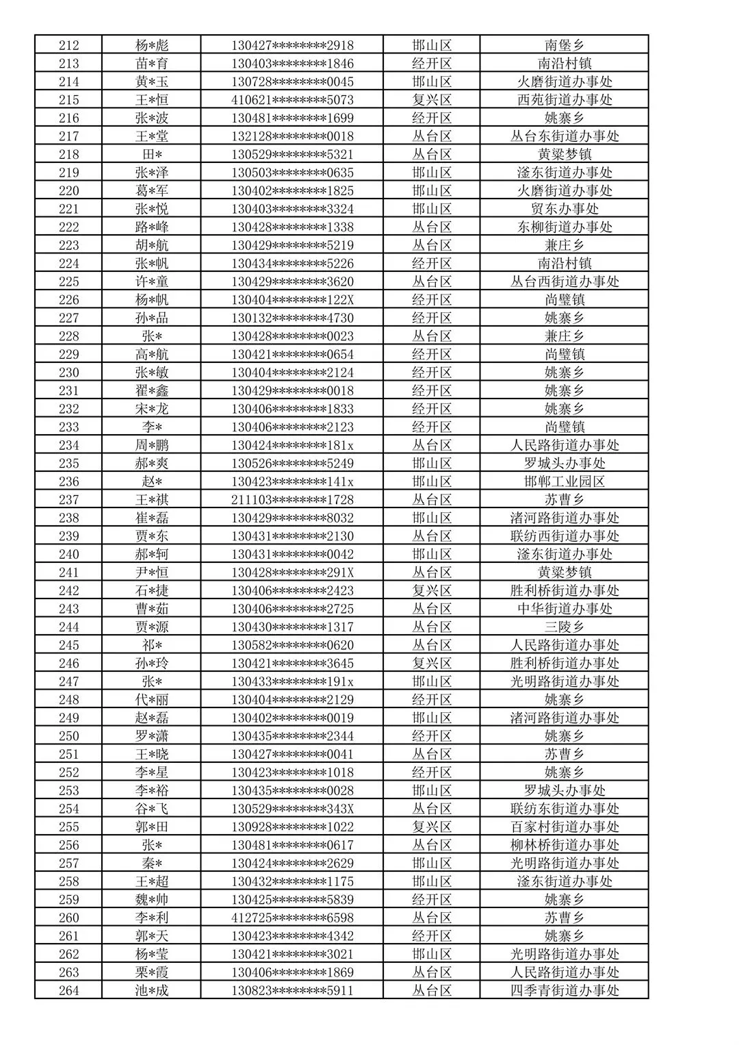
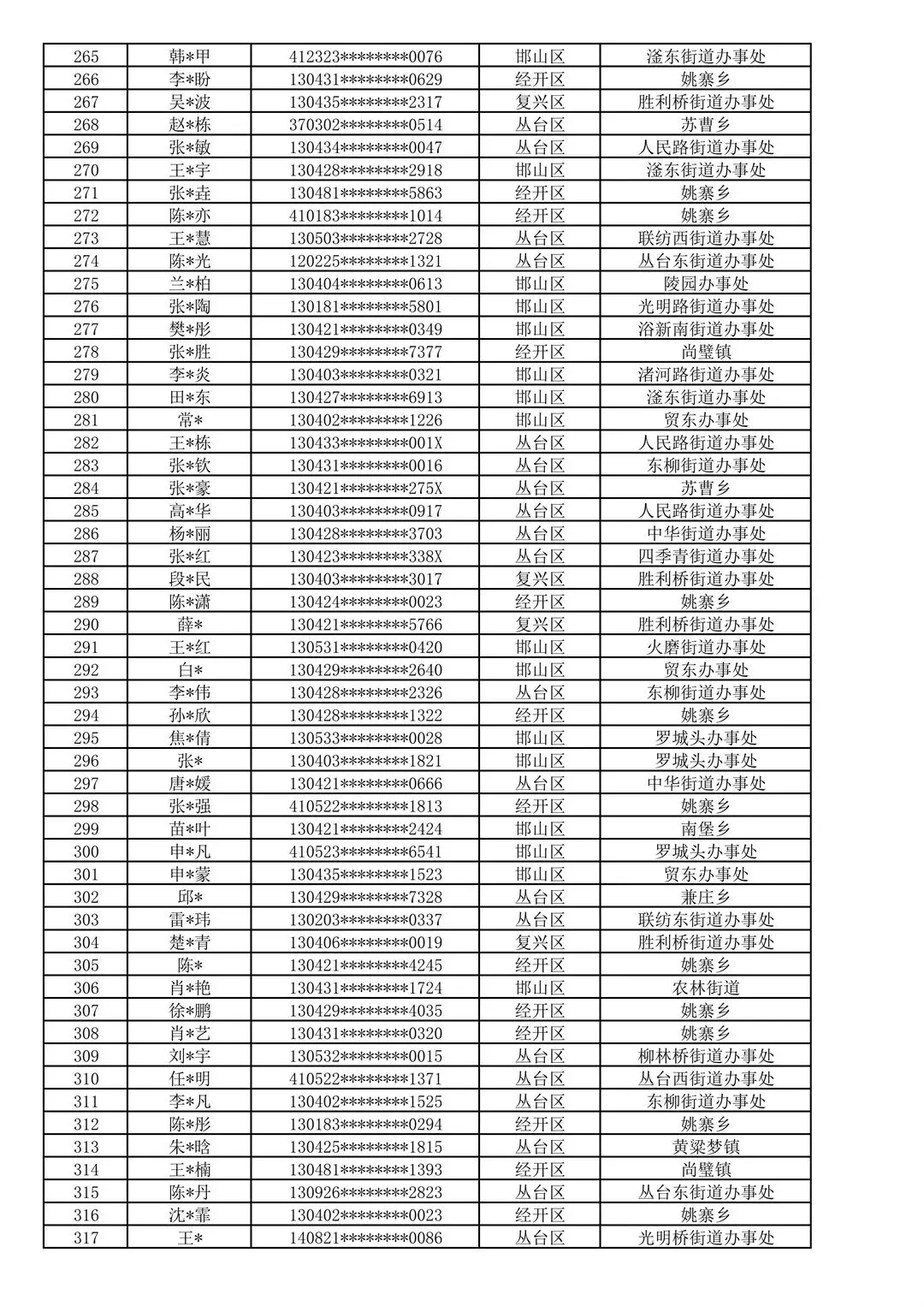
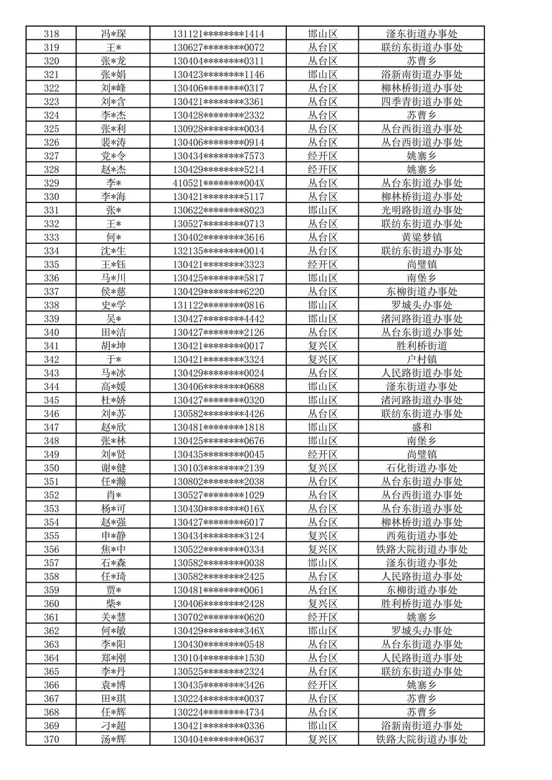
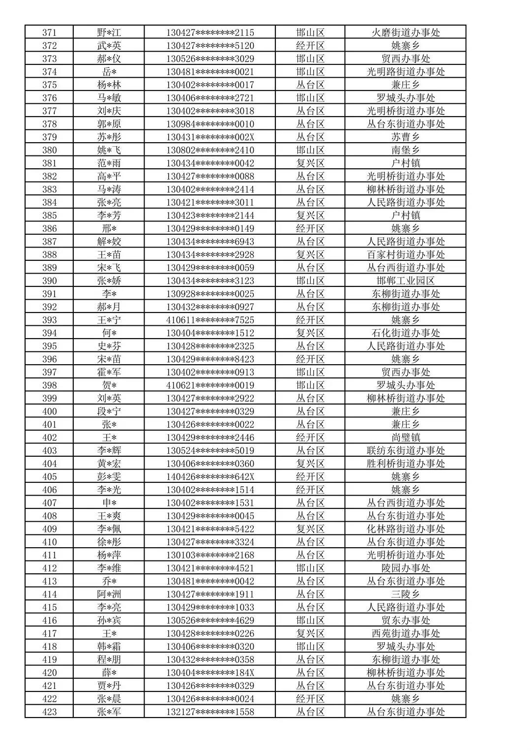
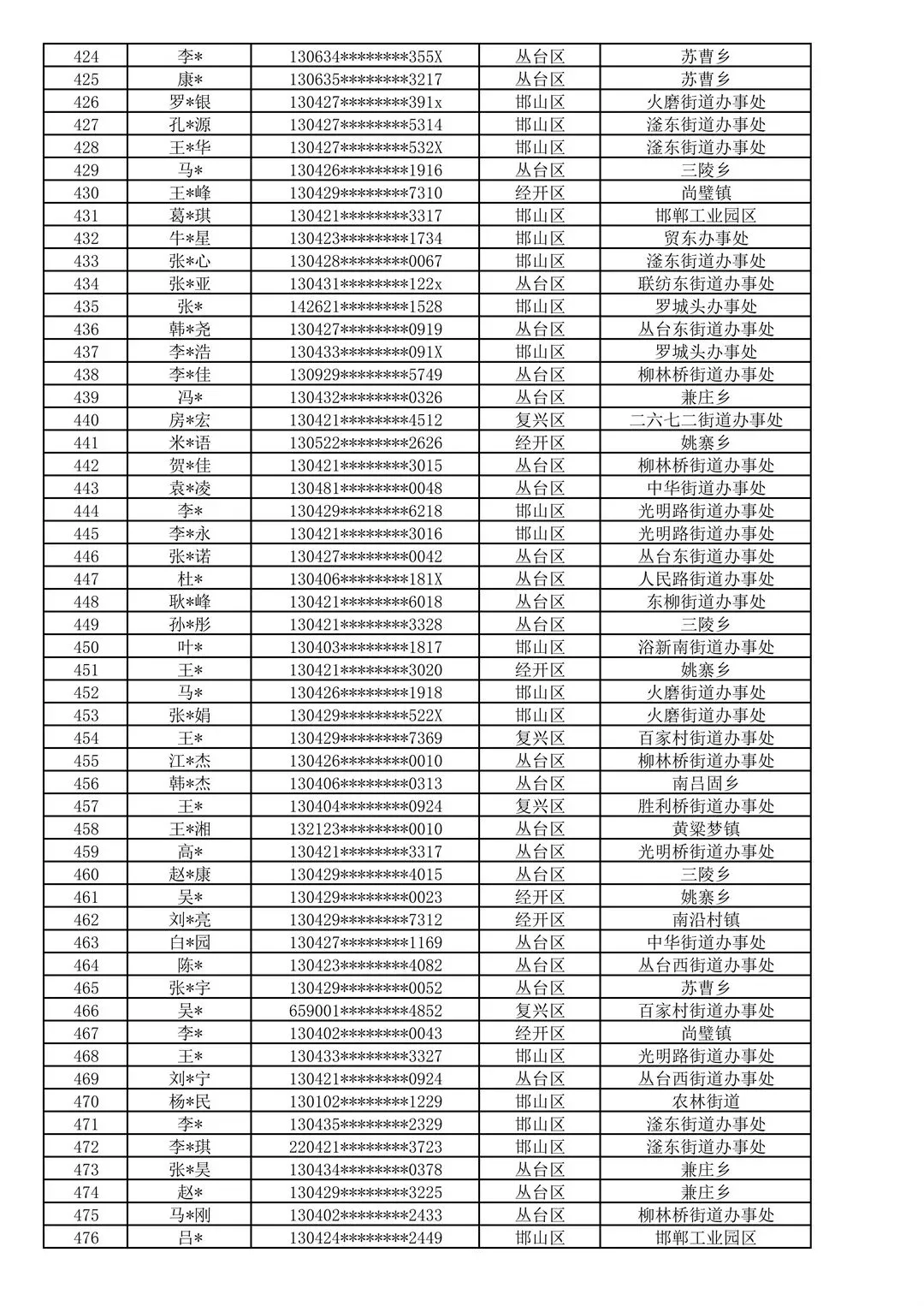
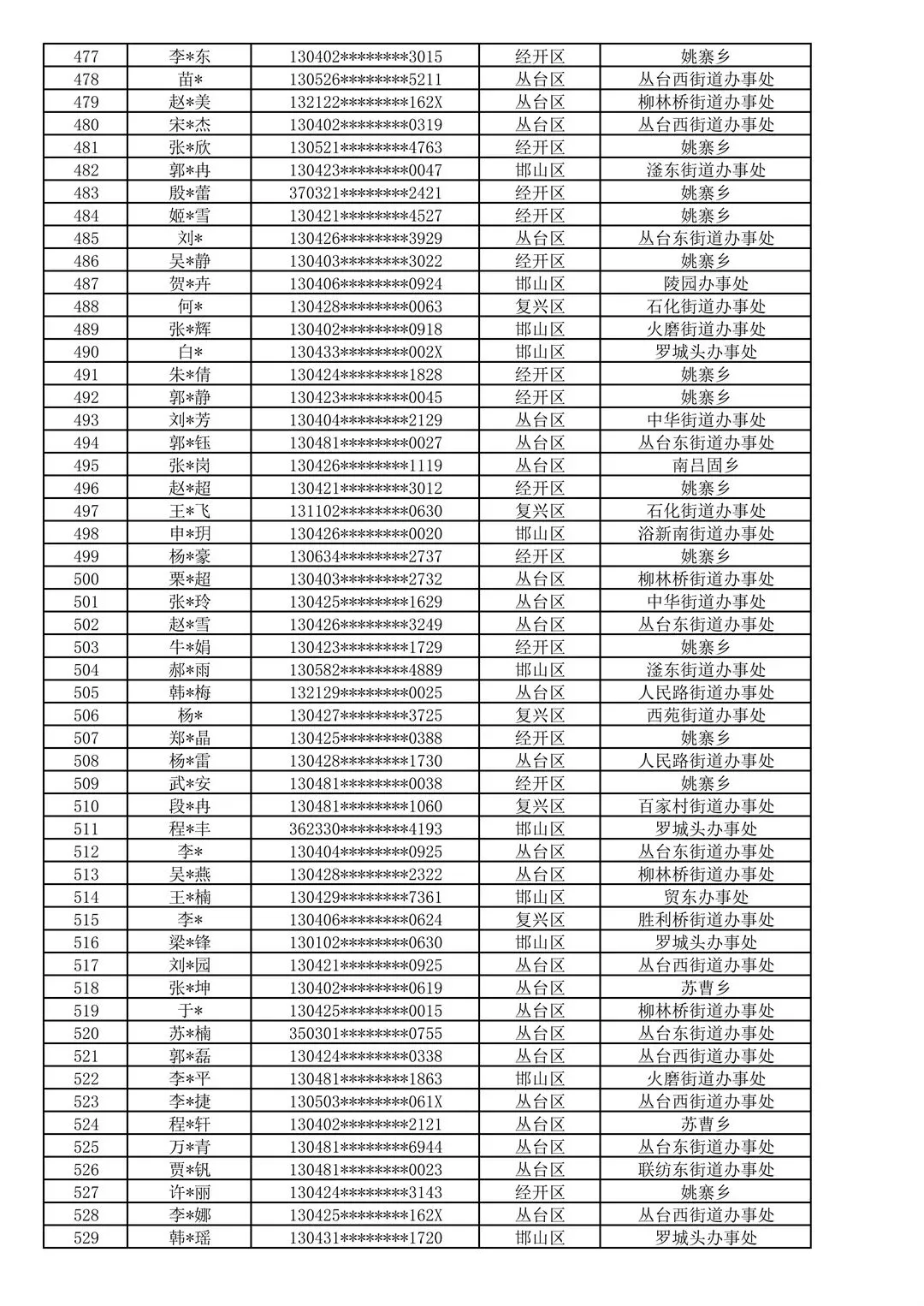
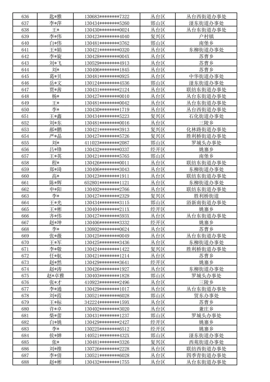
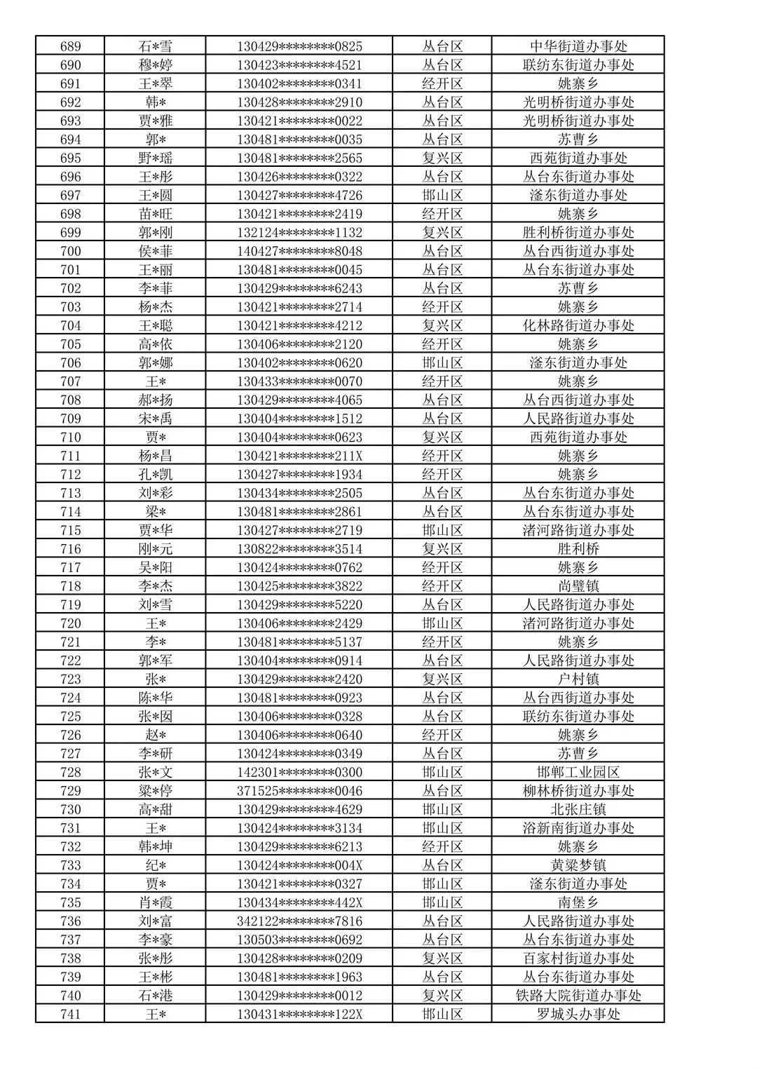
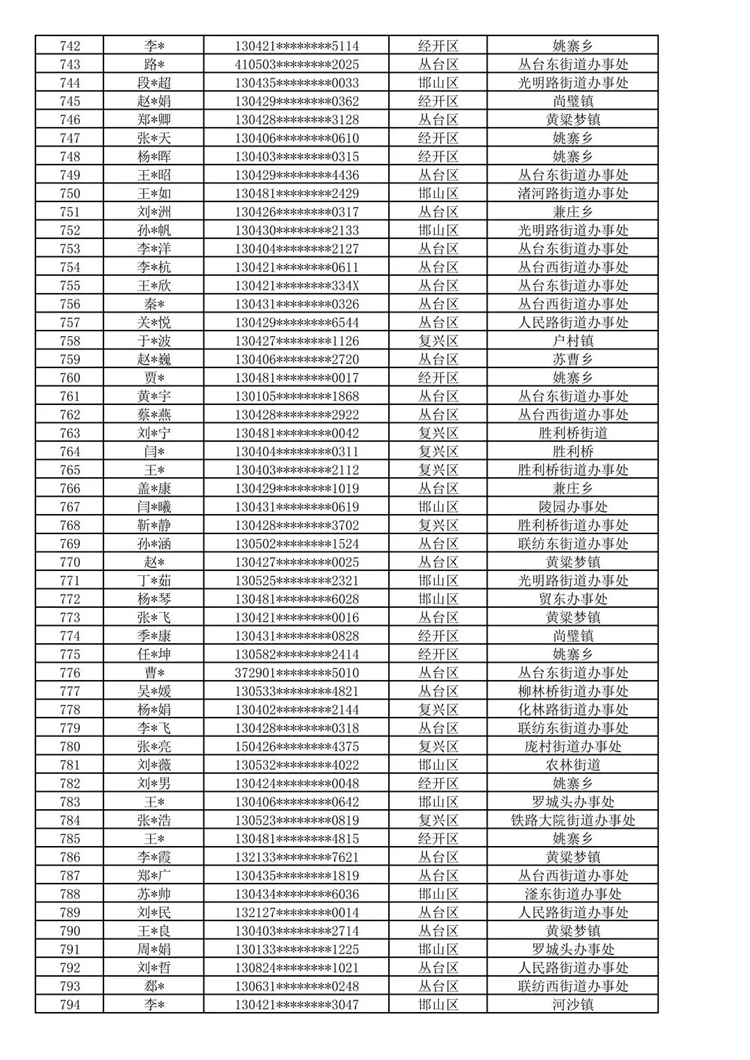
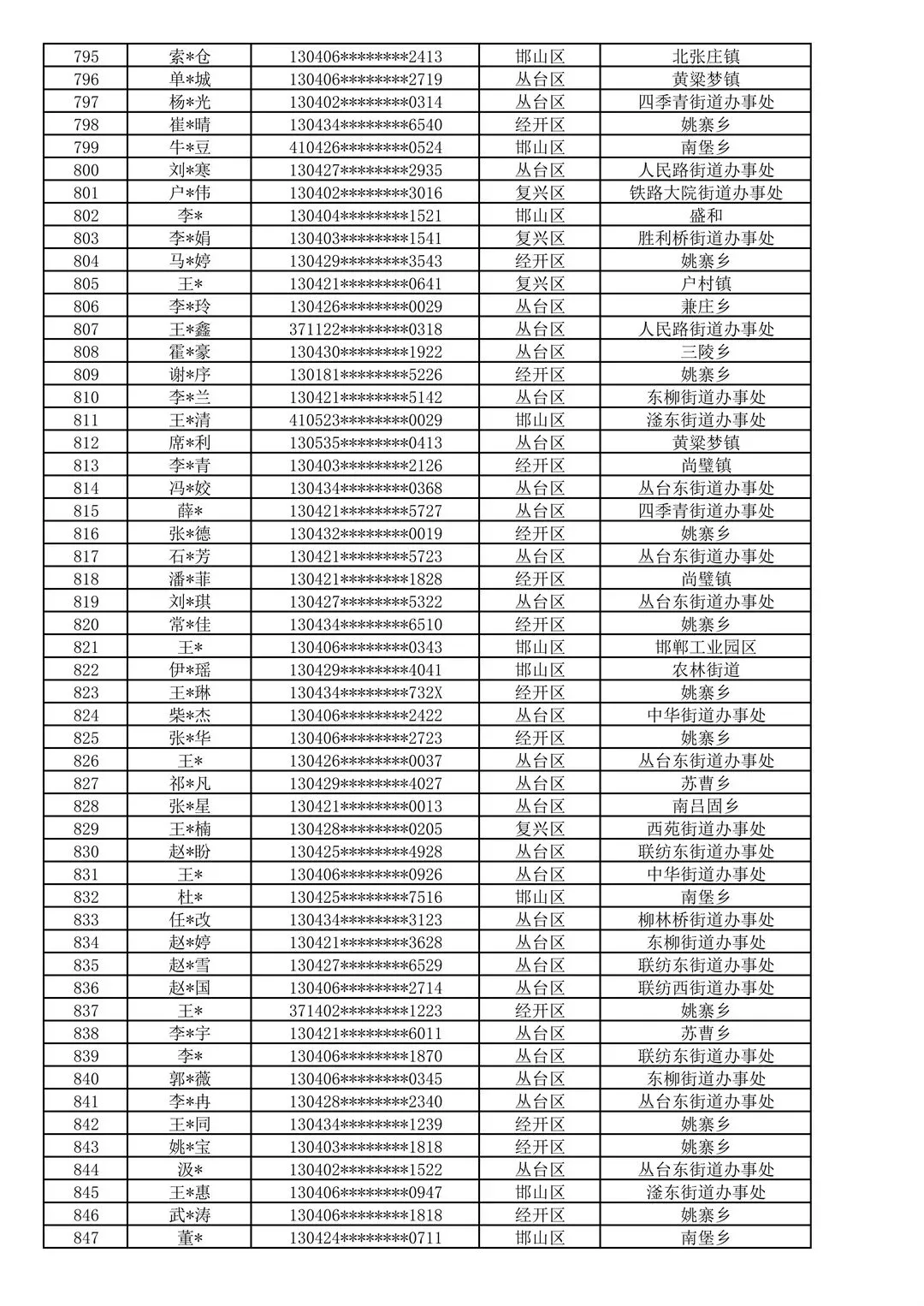
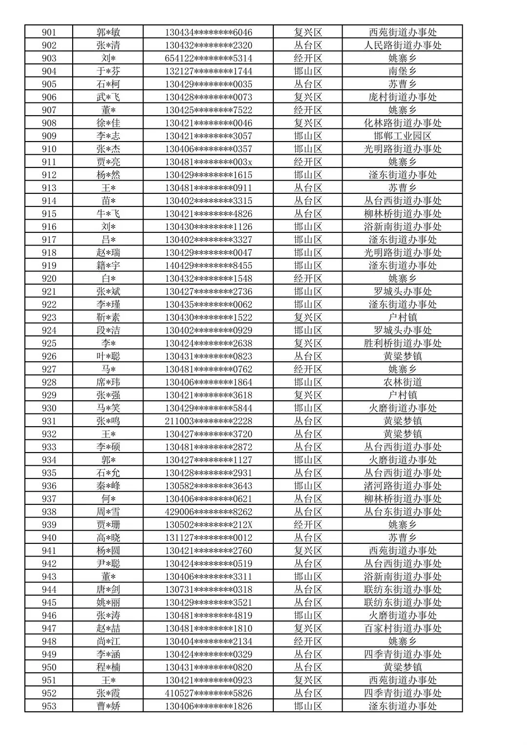
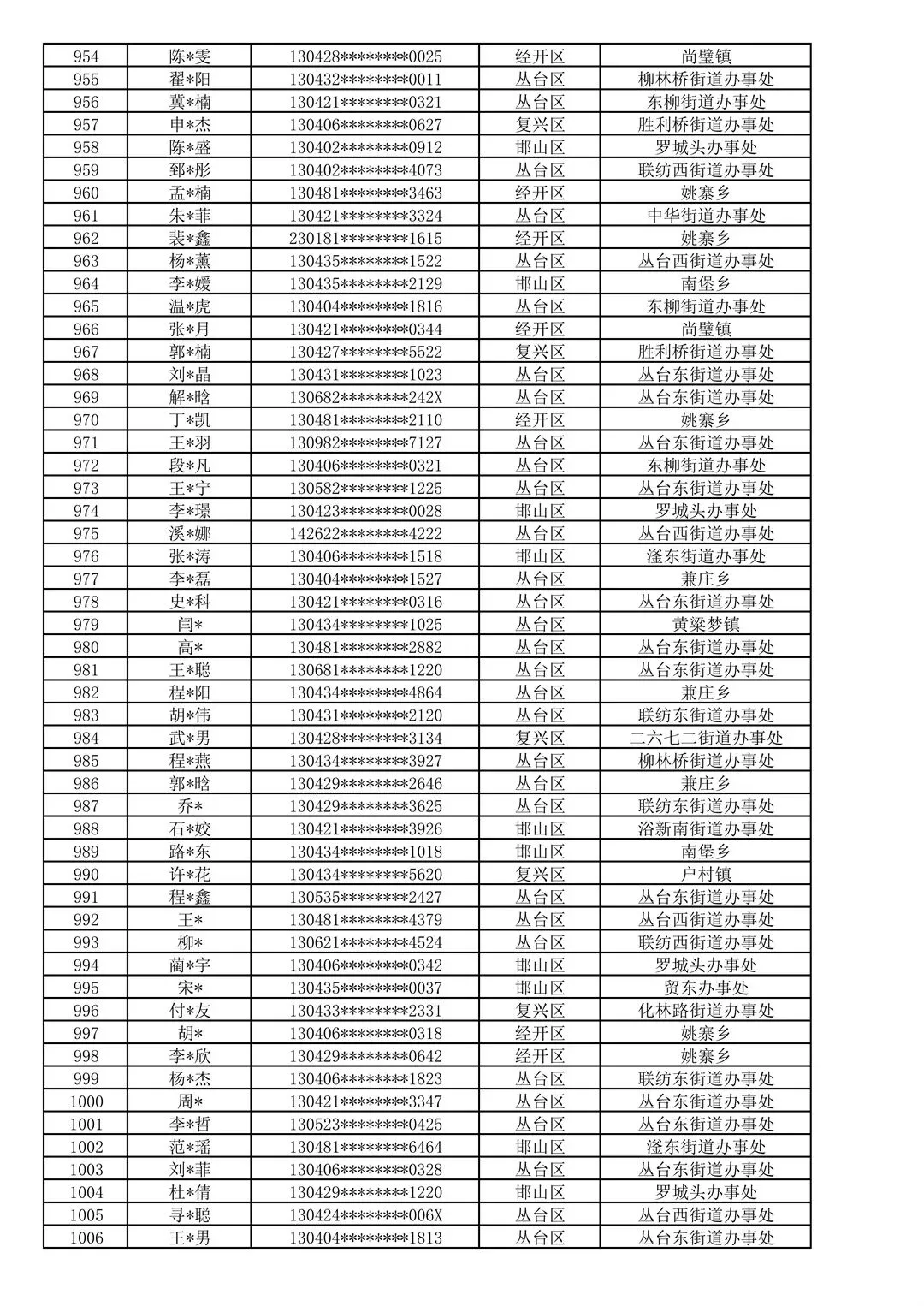
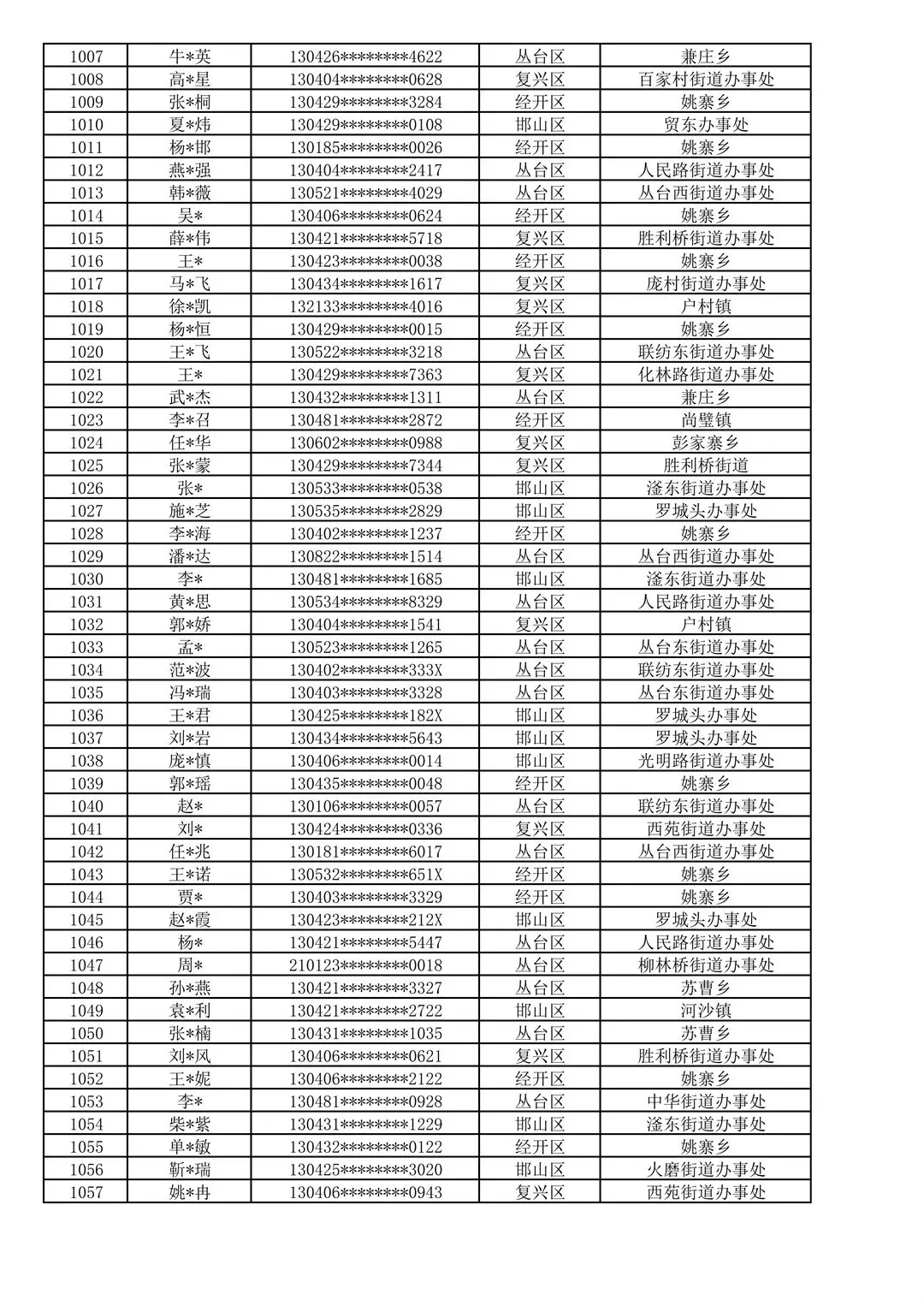
邯郸市保障性住房管理中心于2026年1月23日上午对丛台区、邯山区、复兴区、经开区审核公示符合保障条件的保租房家庭共计1057户进行了公开摇号,公示期10天,公示期间欢迎广大群众监督举报。现将摇号排序结果公示如下:
举报电话:
丛台区保障性住房管理中心:3117883
邯山区廉租住房和经济适用住房管理中心:3128470
复兴区廉租住房和经济适用住房管理中心:4045606
邯郸经济技术开发区保障性住房管理中心:8066872






















———————————————
来源:邯郸市住房和城乡建设局
编辑:张澜
往期回顾
点亮下方 赢好礼
