石家庄邮电职业技术学院始建于1956年,是教育部批准的公办高职院校,隶属中国邮政集团有限公司,是我国唯一一所培养邮政专门人才为主的高等院校,同时是中共中国邮政集团有限公司党校、中国邮政集团有限公司培训中心、中国邮政网络学院和中国邮政集团有限公司科研与服务支撑基地。
办学以来,学院全面落实党的教育方针,坚持立德树人根本任务,坚持产教融合、校企合作,坚持“立足邮政、服务基层、贡献社会”办学定位,打造了高职教育、党校教育、在职培训、科研与服务支撑等多项功能于一体的事业格局,走出了一条“产教深度融合、校企协同育人、育培研一体发展”的特色之路。
学院立足邮电行业办学,拥有“邮政快递类、现代物流类、现代金融类、智能工程类、信息技术类、财务会计类”六大特色专业群,开设专业30余个,普通全日制在校学生9000余人,与邮政企业合作订单招生达2600余人/年。现有教师580余人,其中博士、硕士研究生470余人,副高级以上职称210余人,拥有国家“万人计划”教学名师、享受国务院政府特殊津贴专家、全国首届教材建设奖先进个人、国家级教学团队、国家级教师教学创新团队、国家级课程思政教学团队、交通运输青年科技英才、教育部邮政快递行指委副主任委员等一批高端人才。
学院在长期办学实践中取得了丰硕成果,入选国家“双高计划”建设单位并以优秀等级通过终期验收,先后被教育部确定为“全国职业教育先进单位”“全国毕业生就业典型经验高校”“全国首批现代学徒制试点单位”;被人力资源和社会保障部确定为首批“国家高技能人才培养示范基地”,荣获“国家技能人才培育突出贡献奖”;被工业和信息化部确定为教育系统首家“通信行业职业技能鉴定实训基地”;被国家邮政局确定为全国首批“邮政行业人才培养基地”;获评“省重点建设的示范性高职院校”“河北省高水平专业群建设单位”“河北省优质校建设单位”“河北省职业教育课程思政示范校”“河北省课程思政教学研究示范中心”,荣获黄炎培职业教育奖优秀学校奖、国家级教学成果奖、中国国际“互联网+”大学生创新创业大赛金奖、国际人才发展协会(ATD)卓越实践奖等重要奖项。
办学类型:公办全日制普通高等学校
办学层次:专科
学校标识码:4113013397
学校地址:
河北省石家庄市体育南大街318号(西校区)
河北省石家庄市翟营大街51号(东校区)
学院订单式人才培养始于2004年,经过不断探索与实践,订单式人才培养模式日趋完善、培养规模逐步扩大,现已覆盖31个省(区、市)45家省级邮政公司、邮储分行,与邮政企业合作订单招生达2600余人/年,涵盖学院6个二级学院的20余个专业,累计为企业培养订单生2.1万余人。2015年作为教育部首批现代学徒制试点单位,与邮政企业深度合作开展现代学徒制培养,共同打造了“双主体育人、双场域衔接”邮政特色现代学徒制人才培养模式。
学院订单招生合作企业是各省(区、市)邮政公司(或邮储银行),毕业面向订单企业基层窗口服务性岗位就业。
订单式人才培养是学院根据邮政企业对基层技术技能人才的需求量身订做的一种人才培养模式,具有“订单+校企全面合作”的双重特征。其内涵是:学院、企业、地方招生主管部门共同确定、落实订单招生计划;学院会同企业择优录取考生;企业、学院、学生三方签订《现代学徒制培养就业协议书》;学院实施现代学徒制培养,企业参与培养全过程,并为合格的订单毕业生安排就业。订单式人才培养有着鲜明的“招生即招工、入学即就业”特征。邮政集团已经把订单培养纳入企业人力资源规划,每年专门组织订单招生需求调查,企业提出的订单需求计划直接列入学院的招生计划实施订单招生。被订单招生计划录取学生,入学后须参加学院与订单企业联合组织的面试和体检,面试合格且体检合格的学生作为订单生培养、签订三方培养就业协议,成为企业的准员工。

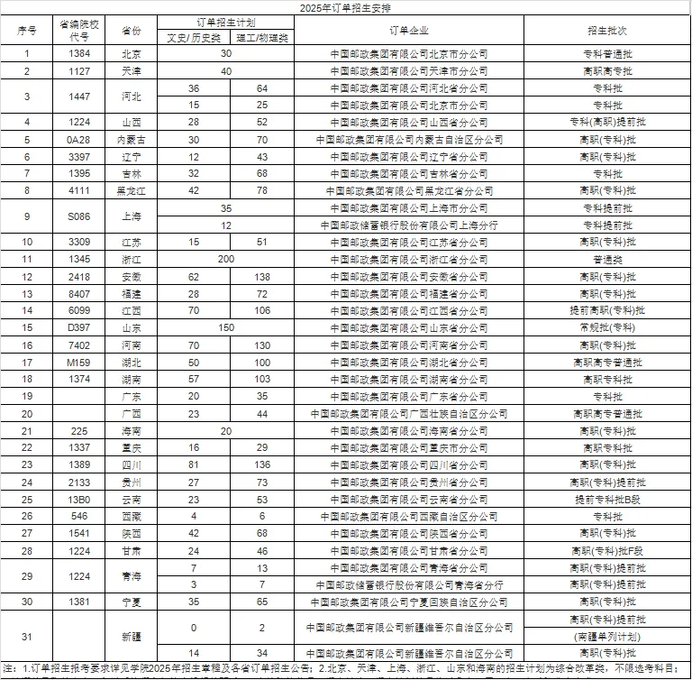
石家庄邮电职业技术学院从2004年开始与邮政企业合作开展订单培养,构建形成的“订单招生+现代学徒制培养”模式深受考生、家长欢迎。学院2025年在北京、天津、河北、山西、内蒙古、辽宁、吉林、黑龙江、上海、江苏、浙江、安徽、福建、江西、山东、河南、湖北、湖南、广东、广西、海南、重庆、四川、贵州、云南、西藏、陕西、甘肃、青海、宁夏和新疆等31个省(区、市)共安排3000余名订单招生计划。
北京市:
天津市:
河北省:
1.报考订单招生计划的考生,须符合以下要求:有志于从事邮政事业,服从企业工作地点和工作岗位安排;具有良好的道德品质,诚实守信,富有合作精神;有良好的沟通表达、逻辑思维能力;男生身高170厘米及以上,女生身高160厘米及以上,根据生源情况在部分省份可下浮1-5厘米;体形匀称,步态正常,身体无残疾、无手指残缺或畸形、无脊柱侧弯后凸畸形;五官端正,面颈部无明显缺陷(如唇裂、斜视、斜颈等),无影响面容且难以治愈的皮肤病(如白癜风、银屑病、血管瘤、斑痣等);面颈部及着夏装身体裸露部位无明显疤痕、胎记、色素斑,无文身;单眼无失明或严重视力障碍;口齿清晰、两耳听力正常。
2.报考订单招生计划的北京市考生须具有京籍常住户口。
3.被订单招生计划录取的学生,入学后须参加学院与订单企业联合组织的面试和体检,面试合格且体检合格的学生作为订单生培养、签订现代学徒制培养就业协议,面试不合格或体检不合格的学生转为普通类培养。
老师愿每一位普通家庭的考生,选对适配自己的专业,以技术为翼,以努力为径,实现人生的跨越与成长,成为未来行业的中坚力量。