当前位置:首页>石家庄>石家庄铁道大学田瑞兰教授:用于超低频振动隔离的机械悬浮系统

石家庄铁道大学田瑞兰教授:用于超低频振动隔离的机械悬浮系统

  • 2026-05-19 09:18:24
石家庄铁道大学田瑞兰教授:用于超低频振动隔离的机械悬浮系统
田瑞兰,女,山东人,博士,教授,博士生导师,河北省高校黄大年式教师团队, 河北省三三三人才工程第二层次人选,河北省杰出青年科学基金获得者,河北省教育厅百名优秀创新人才,石家庄青年五四奖章提名奖获得者,石家庄铁道大学优秀青年科技人才20083月毕业于天津大学力学系,获博士学位。2017年赴新加坡国立大学和香港理工大学做访问学者。20084月至今任教于石家庄铁道大学,获得校级优秀教师称号、校级教学质量奖、三八红旗手、本科教学管理先进个人二等奖和课堂教学质量优秀奖。

https://yjs.stdu.edu.cn/supervisor?code=8603814

刚度硬化现象制约着准零刚度隔振器的发展,其主要原因在于正负刚度匹配度不足。为突破这一限制,本研究受变节距非线性弹簧丝变形行为的启发,提出一种啮合模型,用于精确调控变节距非线性弹簧的非线性正刚度特性,以实现与目标负刚度的高度匹配。实验中首次发现机械悬浮现象,该现象能够抑制保守系统中势能向动能的转化,因而非常适合用于构建超低频隔振器。鉴于机械悬浮现象对刚度波动的高度敏感性,研究建立了摩擦锁定调节机制以降低其敏感度,并抑制响应幅值的放大效应。基于此,构建了用于抑制超低频振动的机械悬浮系统。结果表明:啮合模型使变节距非线性弹簧的最大绝对刚度误差降低约90%,成功消除了刚度硬化现象;借助摩擦锁定机制,机械悬浮系统在实现接近0 Hz固有频率时,隔振性能提升达75%——系统在1 Hz处传递率约为-8 dB,在5 Hz处可达-20 dB。本研究为抑制刚度硬化提供了新方法,并为超低频隔振技术的发展指明了新方向。

图1 机械悬浮系统组成

目前已发展出多种抑制中高频振动的策略,包括声子晶体超材料、能量收集器、动力吸振器以及声学黑洞技术。由于有效隔振频率需高于隔振器固有频率的√2倍,抑制低频振动相比高频振动面临更大挑战。准零刚度隔振器被广泛应用于低频振动控制,但刚度硬化仍是制约其隔振性能的主要障碍。

传统准零刚度隔振器通常采用三弹簧结构实现平衡位置处等效刚度及其变化率近似为零的准零刚度条件。这类三弹簧结构具有强非线性特性,易在大振幅振动下引发显著刚度硬化与复杂分岔现象。为应对刚度硬化,部分学者采用滚轮-凸轮结构替代预压弹簧,通过改变凸轮廓形调节准零刚度特性;另一类方法则以磁体代替弹簧,通过优化磁体布局调整磁场,从而定制准零刚度特性。磁基准零刚度隔振器具有结构紧凑、适应性强等优势。近年来,受仿生结构启发的新型准零刚度隔振器逐渐兴起:通过弹性元件模拟折痕,可构建具有变刚度特性的机械折纸结构,其在大体积变形方面优势显著;基于动物腿足、脊柱等结构衍生的仿生准零刚度隔振器,根据是否需要刚度补偿机制可分为两类:第一类具有单调递减的正等效刚度,无需附加刚度补偿,其平衡位置能随载荷自适应调整,但较大的等效刚度限制了低频隔振性能;第二类则包含负刚度区间,需借助刚度补偿结构在平衡位置满足准零刚度条件。研究表明,采用非线性结构进行刚度补偿可拓宽准零刚度区间。

随着增材制造技术的发展,一体化准零刚度超材料得以制备。通过3D打印技术,可在单胞内编码设计结构构型以定制准零刚度特性;结合多种打印材料,可构建兼具稳定性与低频隔振性能的刚柔耦合准零刚度隔振器,或开发能响应温度变化的自调节4D准零刚度隔振器。对于大多数准零刚度隔振器,刚度硬化通常发生在平衡位置附近,但目前针对此问题的研究尚显不足。缓解刚度硬化的关键在于发展刚度补偿元件的定制化方法。例如,变节距非线性弹簧的逆向设计有助于在指定位移范围内抑制刚度硬化。尽管这些研究深化了对准零刚度条件的理解,但在无刚度硬化区间内,关于准零刚度隔振器的实际物理现象、非线性动力学行为及稳定性仍需进一步探索。

当准零刚度隔振器的等效刚度趋近零刚度极限时,阻尼特性逐渐成为影响动态刚度的关键因素。多项研究发现,固有干摩擦在振动实验中会引发超低频段的摩擦锁定现象。过大的阻尼不仅会削弱隔振性能,还可能导致隔振失效及复杂静态分岔现象。虽然合理利用阻尼可提升低频隔振性能与系统稳定性,但干摩擦阻尼在超低频振动控制领域的应用仍有不足。

当前,刚度硬化严重制约着超低频隔振技术的发展,其核心成因在于准零刚度区间内正负刚度匹配度不足。本团队曾提出刚度补偿元件定制化方法,通过直接提升匹配度来缓解刚度硬化。但由于可用弹簧数据有限,该方法需借助局部线性化算法构建变节距非线性弹簧模型。当施加较大压缩量或弹簧刚度较高时,变节距非线性弹簧不可避免会出现刚度突变,从而降低匹配度。因此,消除刚度突变至关重要。

图2 变节距非线性弹簧的压缩与等效转换示意图

受变节距非线性弹簧压缩行为启发,本文提出啮合模型。通过模拟变节距非线性弹簧中簧丝的变形过程,可建立啮合点的非线性运动函数。随着该点沿簧丝运动,其轨迹恰好与满足正负刚度匹配要求的簧丝曲线吻合,从而通过该运动函数确定未闭合簧丝长度,以约束任意压缩量下变节距非线性弹簧的等效刚度,消除局部线性化算法引发的刚度突变。

图3 变节距非线性弹簧的压缩过程;(a) 压缩过程离散化示意图,(b) 轴向压缩-旋转等效示意图,(c) 单次旋转过程示意图,(d) 非线性运动函数 ye(x) 的旋转过程示意图。

图4 啮合模型示意图;(a) 由X、xeg和yeg定义的三维理想曲线,(b) 理想曲线长度的变化,(c) 通过啮合模型设计的变节距非线性弹簧缠绕过程示意图,(d) 现有模型设计的变节距非线性弹簧缠绕过程示意图。

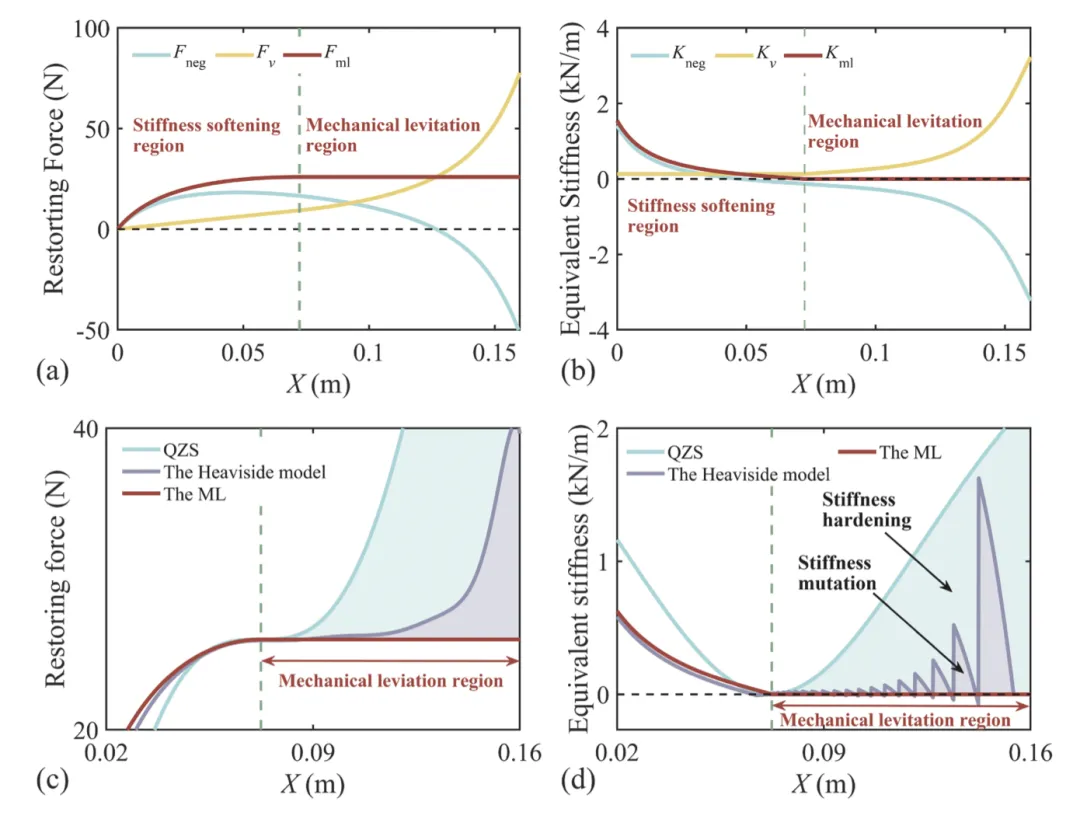
图5 机械悬浮现象的恢复力与等效刚度;(a) 恢复力的构成分量,(b) 等效刚度的构成分量,(c) 恢复力的对比结果,(d) 等效刚度的对比结果。

图6 具有摩擦锁定机制的机械悬浮系统传递率曲线

图7 变节距非线性弹簧与摩擦模块的实验结果

图8 机械悬浮系统的恢复力实验;(a) 实验装置,(b1) 恢复力实验结果,(b2) 至 (b4) 为机械悬浮样机在悬浮区域展现的平衡状态示意图。

为克服刚度硬化现象,本文提出啮合模型,基于目标负刚度定制变节距非线性弹簧的非线性正刚度。研究发现了机械悬浮现象并阐明其机理,进而建立摩擦锁定调节函数以降低该现象的刚度敏感性,最终构建无主共振的机械悬浮系统,并探究其超低频隔振性能。主要结论如下:

(1)啮合模型依据簧丝的理想曲线形状设计变节距非线性弹簧,避免了局部线性化算法的使用,实现了非线性正刚度的精确定制。该方法成功解决了刚度硬化问题,将变节距非线性弹簧的绝对刚度误差降低约90%。该方法可推广至任何具有单调递减负刚度特性的结构,不限于本研究示例所用的特定结构。

(2)研究发现了机械悬浮现象,该现象能抑制保守机械悬浮系统中势能向动能的转化,从而产生无限多个平衡位置。若被隔振对象的初始速度为零,其平衡状态不会受外界激励干扰。

(3)摩擦锁定调节函数可精确确定降低机械悬浮现象刚度敏感性所需的静摩擦力。该机制能使机械悬浮系统的隔振性能提升约75%,在增强系统稳定性的同时,不会导致5 Hz以上频段的传递率明显劣化。

(4)机械悬浮系统表现出0 Hz的固有频率及全频带隔振能力,其在1 Hz处传递率约为−8 dB,5 Hz处可达−20 dB。增加额定载荷可进一步提升系统的超低频隔振性能。调整变节距非线性弹簧的总匝数将同时影响额定载荷、有效位移范围及隔振性能,而外部激励幅值的变化对其影响可忽略不计。

参考文献:

最新文章

随机文章

基本 文件 流程 错误 SQL 调试
  1. 请求信息 : 2026-05-30 16:18:15 HTTP/2.0 GET : https://460.net.cn/a/462474.html
  2. 运行时间 : 0.123588s [ 吞吐率:8.09req/s ] 内存消耗:4,236.94kb 文件加载:140
  3. 缓存信息 : 0 reads,0 writes
  4. 会话信息 : SESSION_ID=a3cdfa661fdb2014a86fa36d5c0f4116
  1. /yingpanguazai/ssd/ssd1/www/460.net.cn/public/index.php ( 0.79 KB )
  2. /yingpanguazai/ssd/ssd1/www/460.net.cn/vendor/autoload.php ( 0.17 KB )
  3. /yingpanguazai/ssd/ssd1/www/460.net.cn/vendor/composer/autoload_real.php ( 2.49 KB )
  4. /yingpanguazai/ssd/ssd1/www/460.net.cn/vendor/composer/platform_check.php ( 0.90 KB )
  5. /yingpanguazai/ssd/ssd1/www/460.net.cn/vendor/composer/ClassLoader.php ( 14.03 KB )
  6. /yingpanguazai/ssd/ssd1/www/460.net.cn/vendor/composer/autoload_static.php ( 4.90 KB )
  7. /yingpanguazai/ssd/ssd1/www/460.net.cn/vendor/topthink/think-helper/src/helper.php ( 8.34 KB )
  8. /yingpanguazai/ssd/ssd1/www/460.net.cn/vendor/topthink/think-validate/src/helper.php ( 2.19 KB )
  9. /yingpanguazai/ssd/ssd1/www/460.net.cn/vendor/topthink/think-orm/src/helper.php ( 1.47 KB )
  10. /yingpanguazai/ssd/ssd1/www/460.net.cn/vendor/topthink/think-orm/stubs/load_stubs.php ( 0.16 KB )
  11. /yingpanguazai/ssd/ssd1/www/460.net.cn/vendor/topthink/framework/src/think/Exception.php ( 1.69 KB )
  12. /yingpanguazai/ssd/ssd1/www/460.net.cn/vendor/topthink/think-container/src/Facade.php ( 2.71 KB )
  13. /yingpanguazai/ssd/ssd1/www/460.net.cn/vendor/symfony/deprecation-contracts/function.php ( 0.99 KB )
  14. /yingpanguazai/ssd/ssd1/www/460.net.cn/vendor/symfony/polyfill-mbstring/bootstrap.php ( 8.26 KB )
  15. /yingpanguazai/ssd/ssd1/www/460.net.cn/vendor/symfony/polyfill-mbstring/bootstrap80.php ( 9.78 KB )
  16. /yingpanguazai/ssd/ssd1/www/460.net.cn/vendor/symfony/var-dumper/Resources/functions/dump.php ( 1.49 KB )
  17. /yingpanguazai/ssd/ssd1/www/460.net.cn/vendor/topthink/think-dumper/src/helper.php ( 0.18 KB )
  18. /yingpanguazai/ssd/ssd1/www/460.net.cn/vendor/symfony/var-dumper/VarDumper.php ( 4.30 KB )
  19. /yingpanguazai/ssd/ssd1/www/460.net.cn/vendor/topthink/framework/src/think/App.php ( 15.30 KB )
  20. /yingpanguazai/ssd/ssd1/www/460.net.cn/vendor/topthink/think-container/src/Container.php ( 15.76 KB )
  21. /yingpanguazai/ssd/ssd1/www/460.net.cn/vendor/psr/container/src/ContainerInterface.php ( 1.02 KB )
  22. /yingpanguazai/ssd/ssd1/www/460.net.cn/app/provider.php ( 0.19 KB )
  23. /yingpanguazai/ssd/ssd1/www/460.net.cn/vendor/topthink/framework/src/think/Http.php ( 6.04 KB )
  24. /yingpanguazai/ssd/ssd1/www/460.net.cn/vendor/topthink/think-helper/src/helper/Str.php ( 7.29 KB )
  25. /yingpanguazai/ssd/ssd1/www/460.net.cn/vendor/topthink/framework/src/think/Env.php ( 4.68 KB )
  26. /yingpanguazai/ssd/ssd1/www/460.net.cn/app/common.php ( 0.03 KB )
  27. /yingpanguazai/ssd/ssd1/www/460.net.cn/vendor/topthink/framework/src/helper.php ( 18.78 KB )
  28. /yingpanguazai/ssd/ssd1/www/460.net.cn/vendor/topthink/framework/src/think/Config.php ( 5.54 KB )
  29. /yingpanguazai/ssd/ssd1/www/460.net.cn/config/app.php ( 0.95 KB )
  30. /yingpanguazai/ssd/ssd1/www/460.net.cn/config/cache.php ( 0.78 KB )
  31. /yingpanguazai/ssd/ssd1/www/460.net.cn/config/console.php ( 0.23 KB )
  32. /yingpanguazai/ssd/ssd1/www/460.net.cn/config/cookie.php ( 0.56 KB )
  33. /yingpanguazai/ssd/ssd1/www/460.net.cn/config/database.php ( 2.48 KB )
  34. /yingpanguazai/ssd/ssd1/www/460.net.cn/vendor/topthink/framework/src/think/facade/Env.php ( 1.67 KB )
  35. /yingpanguazai/ssd/ssd1/www/460.net.cn/config/filesystem.php ( 0.61 KB )
  36. /yingpanguazai/ssd/ssd1/www/460.net.cn/config/lang.php ( 0.91 KB )
  37. /yingpanguazai/ssd/ssd1/www/460.net.cn/config/log.php ( 1.35 KB )
  38. /yingpanguazai/ssd/ssd1/www/460.net.cn/config/middleware.php ( 0.19 KB )
  39. /yingpanguazai/ssd/ssd1/www/460.net.cn/config/route.php ( 1.89 KB )
  40. /yingpanguazai/ssd/ssd1/www/460.net.cn/config/session.php ( 0.57 KB )
  41. /yingpanguazai/ssd/ssd1/www/460.net.cn/config/trace.php ( 0.34 KB )
  42. /yingpanguazai/ssd/ssd1/www/460.net.cn/config/view.php ( 0.82 KB )
  43. /yingpanguazai/ssd/ssd1/www/460.net.cn/app/event.php ( 0.25 KB )
  44. /yingpanguazai/ssd/ssd1/www/460.net.cn/vendor/topthink/framework/src/think/Event.php ( 7.67 KB )
  45. /yingpanguazai/ssd/ssd1/www/460.net.cn/app/service.php ( 0.13 KB )
  46. /yingpanguazai/ssd/ssd1/www/460.net.cn/app/AppService.php ( 0.26 KB )
  47. /yingpanguazai/ssd/ssd1/www/460.net.cn/vendor/topthink/framework/src/think/Service.php ( 1.64 KB )
  48. /yingpanguazai/ssd/ssd1/www/460.net.cn/vendor/topthink/framework/src/think/Lang.php ( 7.35 KB )
  49. /yingpanguazai/ssd/ssd1/www/460.net.cn/vendor/topthink/framework/src/lang/zh-cn.php ( 13.70 KB )
  50. /yingpanguazai/ssd/ssd1/www/460.net.cn/vendor/topthink/framework/src/think/initializer/Error.php ( 3.31 KB )
  51. /yingpanguazai/ssd/ssd1/www/460.net.cn/vendor/topthink/framework/src/think/initializer/RegisterService.php ( 1.33 KB )
  52. /yingpanguazai/ssd/ssd1/www/460.net.cn/vendor/services.php ( 0.14 KB )
  53. /yingpanguazai/ssd/ssd1/www/460.net.cn/vendor/topthink/framework/src/think/service/PaginatorService.php ( 1.52 KB )
  54. /yingpanguazai/ssd/ssd1/www/460.net.cn/vendor/topthink/framework/src/think/service/ValidateService.php ( 0.99 KB )
  55. /yingpanguazai/ssd/ssd1/www/460.net.cn/vendor/topthink/framework/src/think/service/ModelService.php ( 2.04 KB )
  56. /yingpanguazai/ssd/ssd1/www/460.net.cn/vendor/topthink/think-trace/src/Service.php ( 0.77 KB )
  57. /yingpanguazai/ssd/ssd1/www/460.net.cn/vendor/topthink/framework/src/think/Middleware.php ( 6.72 KB )
  58. /yingpanguazai/ssd/ssd1/www/460.net.cn/vendor/topthink/framework/src/think/initializer/BootService.php ( 0.77 KB )
  59. /yingpanguazai/ssd/ssd1/www/460.net.cn/vendor/topthink/think-orm/src/Paginator.php ( 11.86 KB )
  60. /yingpanguazai/ssd/ssd1/www/460.net.cn/vendor/topthink/think-validate/src/Validate.php ( 63.20 KB )
  61. /yingpanguazai/ssd/ssd1/www/460.net.cn/vendor/topthink/think-orm/src/Model.php ( 23.55 KB )
  62. /yingpanguazai/ssd/ssd1/www/460.net.cn/vendor/topthink/think-orm/src/model/concern/Attribute.php ( 21.05 KB )
  63. /yingpanguazai/ssd/ssd1/www/460.net.cn/vendor/topthink/think-orm/src/model/concern/AutoWriteData.php ( 4.21 KB )
  64. /yingpanguazai/ssd/ssd1/www/460.net.cn/vendor/topthink/think-orm/src/model/concern/Conversion.php ( 6.44 KB )
  65. /yingpanguazai/ssd/ssd1/www/460.net.cn/vendor/topthink/think-orm/src/model/concern/DbConnect.php ( 5.16 KB )
  66. /yingpanguazai/ssd/ssd1/www/460.net.cn/vendor/topthink/think-orm/src/model/concern/ModelEvent.php ( 2.33 KB )
  67. /yingpanguazai/ssd/ssd1/www/460.net.cn/vendor/topthink/think-orm/src/model/concern/RelationShip.php ( 28.29 KB )
  68. /yingpanguazai/ssd/ssd1/www/460.net.cn/vendor/topthink/think-helper/src/contract/Arrayable.php ( 0.09 KB )
  69. /yingpanguazai/ssd/ssd1/www/460.net.cn/vendor/topthink/think-helper/src/contract/Jsonable.php ( 0.13 KB )
  70. /yingpanguazai/ssd/ssd1/www/460.net.cn/vendor/topthink/think-orm/src/model/contract/Modelable.php ( 0.09 KB )
  71. /yingpanguazai/ssd/ssd1/www/460.net.cn/vendor/topthink/framework/src/think/Db.php ( 2.88 KB )
  72. /yingpanguazai/ssd/ssd1/www/460.net.cn/vendor/topthink/think-orm/src/DbManager.php ( 8.52 KB )
  73. /yingpanguazai/ssd/ssd1/www/460.net.cn/vendor/topthink/framework/src/think/Log.php ( 6.28 KB )
  74. /yingpanguazai/ssd/ssd1/www/460.net.cn/vendor/topthink/framework/src/think/Manager.php ( 3.92 KB )
  75. /yingpanguazai/ssd/ssd1/www/460.net.cn/vendor/psr/log/src/LoggerTrait.php ( 2.69 KB )
  76. /yingpanguazai/ssd/ssd1/www/460.net.cn/vendor/psr/log/src/LoggerInterface.php ( 2.71 KB )
  77. /yingpanguazai/ssd/ssd1/www/460.net.cn/vendor/topthink/framework/src/think/Cache.php ( 4.92 KB )
  78. /yingpanguazai/ssd/ssd1/www/460.net.cn/vendor/psr/simple-cache/src/CacheInterface.php ( 4.71 KB )
  79. /yingpanguazai/ssd/ssd1/www/460.net.cn/vendor/topthink/think-helper/src/helper/Arr.php ( 16.63 KB )
  80. /yingpanguazai/ssd/ssd1/www/460.net.cn/vendor/topthink/framework/src/think/cache/driver/File.php ( 7.84 KB )
  81. /yingpanguazai/ssd/ssd1/www/460.net.cn/vendor/topthink/framework/src/think/cache/Driver.php ( 9.03 KB )
  82. /yingpanguazai/ssd/ssd1/www/460.net.cn/vendor/topthink/framework/src/think/contract/CacheHandlerInterface.php ( 1.99 KB )
  83. /yingpanguazai/ssd/ssd1/www/460.net.cn/app/Request.php ( 0.09 KB )
  84. /yingpanguazai/ssd/ssd1/www/460.net.cn/vendor/topthink/framework/src/think/Request.php ( 55.78 KB )
  85. /yingpanguazai/ssd/ssd1/www/460.net.cn/app/middleware.php ( 0.25 KB )
  86. /yingpanguazai/ssd/ssd1/www/460.net.cn/vendor/topthink/framework/src/think/Pipeline.php ( 2.61 KB )
  87. /yingpanguazai/ssd/ssd1/www/460.net.cn/vendor/topthink/think-trace/src/TraceDebug.php ( 3.40 KB )
  88. /yingpanguazai/ssd/ssd1/www/460.net.cn/vendor/topthink/framework/src/think/middleware/SessionInit.php ( 1.94 KB )
  89. /yingpanguazai/ssd/ssd1/www/460.net.cn/vendor/topthink/framework/src/think/Session.php ( 1.80 KB )
  90. /yingpanguazai/ssd/ssd1/www/460.net.cn/vendor/topthink/framework/src/think/session/driver/File.php ( 6.27 KB )
  91. /yingpanguazai/ssd/ssd1/www/460.net.cn/vendor/topthink/framework/src/think/contract/SessionHandlerInterface.php ( 0.87 KB )
  92. /yingpanguazai/ssd/ssd1/www/460.net.cn/vendor/topthink/framework/src/think/session/Store.php ( 7.12 KB )
  93. /yingpanguazai/ssd/ssd1/www/460.net.cn/vendor/topthink/framework/src/think/Route.php ( 23.73 KB )
  94. /yingpanguazai/ssd/ssd1/www/460.net.cn/vendor/topthink/framework/src/think/route/RuleName.php ( 5.75 KB )
  95. /yingpanguazai/ssd/ssd1/www/460.net.cn/vendor/topthink/framework/src/think/route/Domain.php ( 2.53 KB )
  96. /yingpanguazai/ssd/ssd1/www/460.net.cn/vendor/topthink/framework/src/think/route/RuleGroup.php ( 22.43 KB )
  97. /yingpanguazai/ssd/ssd1/www/460.net.cn/vendor/topthink/framework/src/think/route/Rule.php ( 26.95 KB )
  98. /yingpanguazai/ssd/ssd1/www/460.net.cn/vendor/topthink/framework/src/think/route/RuleItem.php ( 9.78 KB )
  99. /yingpanguazai/ssd/ssd1/www/460.net.cn/route/app.php ( 1.72 KB )
  100. /yingpanguazai/ssd/ssd1/www/460.net.cn/vendor/topthink/framework/src/think/facade/Route.php ( 4.70 KB )
  101. /yingpanguazai/ssd/ssd1/www/460.net.cn/vendor/topthink/framework/src/think/route/dispatch/Controller.php ( 4.74 KB )
  102. /yingpanguazai/ssd/ssd1/www/460.net.cn/vendor/topthink/framework/src/think/route/Dispatch.php ( 10.44 KB )
  103. /yingpanguazai/ssd/ssd1/www/460.net.cn/app/controller/Index.php ( 4.81 KB )
  104. /yingpanguazai/ssd/ssd1/www/460.net.cn/app/BaseController.php ( 2.05 KB )
  105. /yingpanguazai/ssd/ssd1/www/460.net.cn/vendor/topthink/think-orm/src/facade/Db.php ( 0.93 KB )
  106. /yingpanguazai/ssd/ssd1/www/460.net.cn/vendor/topthink/think-orm/src/db/connector/Mysql.php ( 5.44 KB )
  107. /yingpanguazai/ssd/ssd1/www/460.net.cn/vendor/topthink/think-orm/src/db/PDOConnection.php ( 52.47 KB )
  108. /yingpanguazai/ssd/ssd1/www/460.net.cn/vendor/topthink/think-orm/src/db/Connection.php ( 8.39 KB )
  109. /yingpanguazai/ssd/ssd1/www/460.net.cn/vendor/topthink/think-orm/src/db/ConnectionInterface.php ( 4.57 KB )
  110. /yingpanguazai/ssd/ssd1/www/460.net.cn/vendor/topthink/think-orm/src/db/builder/Mysql.php ( 16.58 KB )
  111. /yingpanguazai/ssd/ssd1/www/460.net.cn/vendor/topthink/think-orm/src/db/Builder.php ( 24.06 KB )
  112. /yingpanguazai/ssd/ssd1/www/460.net.cn/vendor/topthink/think-orm/src/db/BaseBuilder.php ( 27.50 KB )
  113. /yingpanguazai/ssd/ssd1/www/460.net.cn/vendor/topthink/think-orm/src/db/Query.php ( 15.71 KB )
  114. /yingpanguazai/ssd/ssd1/www/460.net.cn/vendor/topthink/think-orm/src/db/BaseQuery.php ( 45.13 KB )
  115. /yingpanguazai/ssd/ssd1/www/460.net.cn/vendor/topthink/think-orm/src/db/concern/TimeFieldQuery.php ( 7.43 KB )
  116. /yingpanguazai/ssd/ssd1/www/460.net.cn/vendor/topthink/think-orm/src/db/concern/AggregateQuery.php ( 3.26 KB )
  117. /yingpanguazai/ssd/ssd1/www/460.net.cn/vendor/topthink/think-orm/src/db/concern/ModelRelationQuery.php ( 20.07 KB )
  118. /yingpanguazai/ssd/ssd1/www/460.net.cn/vendor/topthink/think-orm/src/db/concern/ParamsBind.php ( 3.66 KB )
  119. /yingpanguazai/ssd/ssd1/www/460.net.cn/vendor/topthink/think-orm/src/db/concern/ResultOperation.php ( 7.01 KB )
  120. /yingpanguazai/ssd/ssd1/www/460.net.cn/vendor/topthink/think-orm/src/db/concern/WhereQuery.php ( 19.37 KB )
  121. /yingpanguazai/ssd/ssd1/www/460.net.cn/vendor/topthink/think-orm/src/db/concern/JoinAndViewQuery.php ( 7.11 KB )
  122. /yingpanguazai/ssd/ssd1/www/460.net.cn/vendor/topthink/think-orm/src/db/concern/TableFieldInfo.php ( 2.63 KB )
  123. /yingpanguazai/ssd/ssd1/www/460.net.cn/vendor/topthink/think-orm/src/db/concern/Transaction.php ( 2.77 KB )
  124. /yingpanguazai/ssd/ssd1/www/460.net.cn/vendor/topthink/framework/src/think/log/driver/File.php ( 5.96 KB )
  125. /yingpanguazai/ssd/ssd1/www/460.net.cn/vendor/topthink/framework/src/think/contract/LogHandlerInterface.php ( 0.86 KB )
  126. /yingpanguazai/ssd/ssd1/www/460.net.cn/vendor/topthink/framework/src/think/log/Channel.php ( 3.89 KB )
  127. /yingpanguazai/ssd/ssd1/www/460.net.cn/vendor/topthink/framework/src/think/event/LogRecord.php ( 1.02 KB )
  128. /yingpanguazai/ssd/ssd1/www/460.net.cn/vendor/topthink/think-helper/src/Collection.php ( 16.47 KB )
  129. /yingpanguazai/ssd/ssd1/www/460.net.cn/vendor/topthink/framework/src/think/facade/View.php ( 1.70 KB )
  130. /yingpanguazai/ssd/ssd1/www/460.net.cn/vendor/topthink/framework/src/think/View.php ( 4.39 KB )
  131. /yingpanguazai/ssd/ssd1/www/460.net.cn/vendor/topthink/framework/src/think/Response.php ( 8.81 KB )
  132. /yingpanguazai/ssd/ssd1/www/460.net.cn/vendor/topthink/framework/src/think/response/View.php ( 3.29 KB )
  133. /yingpanguazai/ssd/ssd1/www/460.net.cn/vendor/topthink/framework/src/think/Cookie.php ( 6.06 KB )
  134. /yingpanguazai/ssd/ssd1/www/460.net.cn/vendor/topthink/think-view/src/Think.php ( 8.38 KB )
  135. /yingpanguazai/ssd/ssd1/www/460.net.cn/vendor/topthink/framework/src/think/contract/TemplateHandlerInterface.php ( 1.60 KB )
  136. /yingpanguazai/ssd/ssd1/www/460.net.cn/vendor/topthink/think-template/src/Template.php ( 46.61 KB )
  137. /yingpanguazai/ssd/ssd1/www/460.net.cn/vendor/topthink/think-template/src/template/driver/File.php ( 2.41 KB )
  138. /yingpanguazai/ssd/ssd1/www/460.net.cn/vendor/topthink/think-template/src/template/contract/DriverInterface.php ( 0.86 KB )
  139. /yingpanguazai/ssd/ssd1/www/460.net.cn/runtime/temp/ba54d6633e0eed0ab3340e5f5fbe5cd0.php ( 11.97 KB )
  140. /yingpanguazai/ssd/ssd1/www/460.net.cn/vendor/topthink/think-trace/src/Html.php ( 4.42 KB )
  1. CONNECT:[ UseTime:0.000930s ] mysql:host=127.0.0.1;port=3306;dbname=nowww460;charset=utf8mb4
  2. SHOW FULL COLUMNS FROM `fenlei` [ RunTime:0.001733s ]
  3. SELECT * FROM `fenlei` WHERE `fid` = 0 [ RunTime:0.000885s ]
  4. SELECT * FROM `fenlei` WHERE `fid` = 63 [ RunTime:0.000786s ]
  5. SHOW FULL COLUMNS FROM `set` [ RunTime:0.001458s ]
  6. SELECT * FROM `set` [ RunTime:0.000598s ]
  7. SHOW FULL COLUMNS FROM `article` [ RunTime:0.001660s ]
  8. SELECT * FROM `article` WHERE `id` = 462474 LIMIT 1 [ RunTime:0.005873s ]
  9. UPDATE `article` SET `lasttime` = 1780129095 WHERE `id` = 462474 [ RunTime:0.003416s ]
  10. SELECT * FROM `fenlei` WHERE `id` = 65 LIMIT 1 [ RunTime:0.000742s ]
  11. SELECT * FROM `article` WHERE `id` < 462474 ORDER BY `id` DESC LIMIT 1 [ RunTime:0.001208s ]
  12. SELECT * FROM `article` WHERE `id` > 462474 ORDER BY `id` ASC LIMIT 1 [ RunTime:0.001835s ]
  13. SELECT * FROM `article` WHERE `id` < 462474 ORDER BY `id` DESC LIMIT 10 [ RunTime:0.001594s ]
  14. SELECT * FROM `article` WHERE `id` < 462474 ORDER BY `id` DESC LIMIT 10,10 [ RunTime:0.003344s ]
  15. SELECT * FROM `article` WHERE `id` < 462474 ORDER BY `id` DESC LIMIT 20,10 [ RunTime:0.002764s ]
0.127373s